Have you been wanting to read the Bible but don’t know where to start? Look no further! The 52 Week Bible Reading Plan Printable is here to help you stay on track and engage with the Word of God.
This handy printable guide breaks down the Bible into manageable sections that you can read each week. Whether you’re a seasoned reader or just starting out, this plan is perfect for anyone looking to dive deeper into scripture.
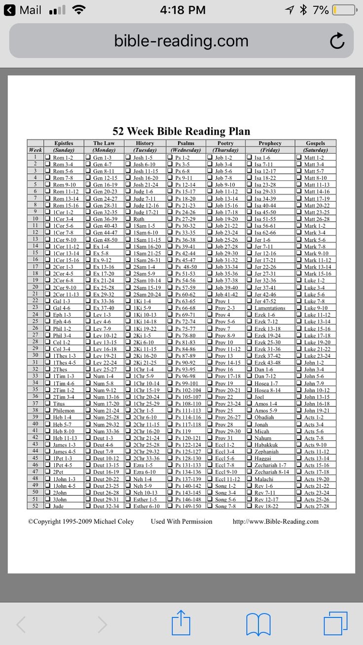
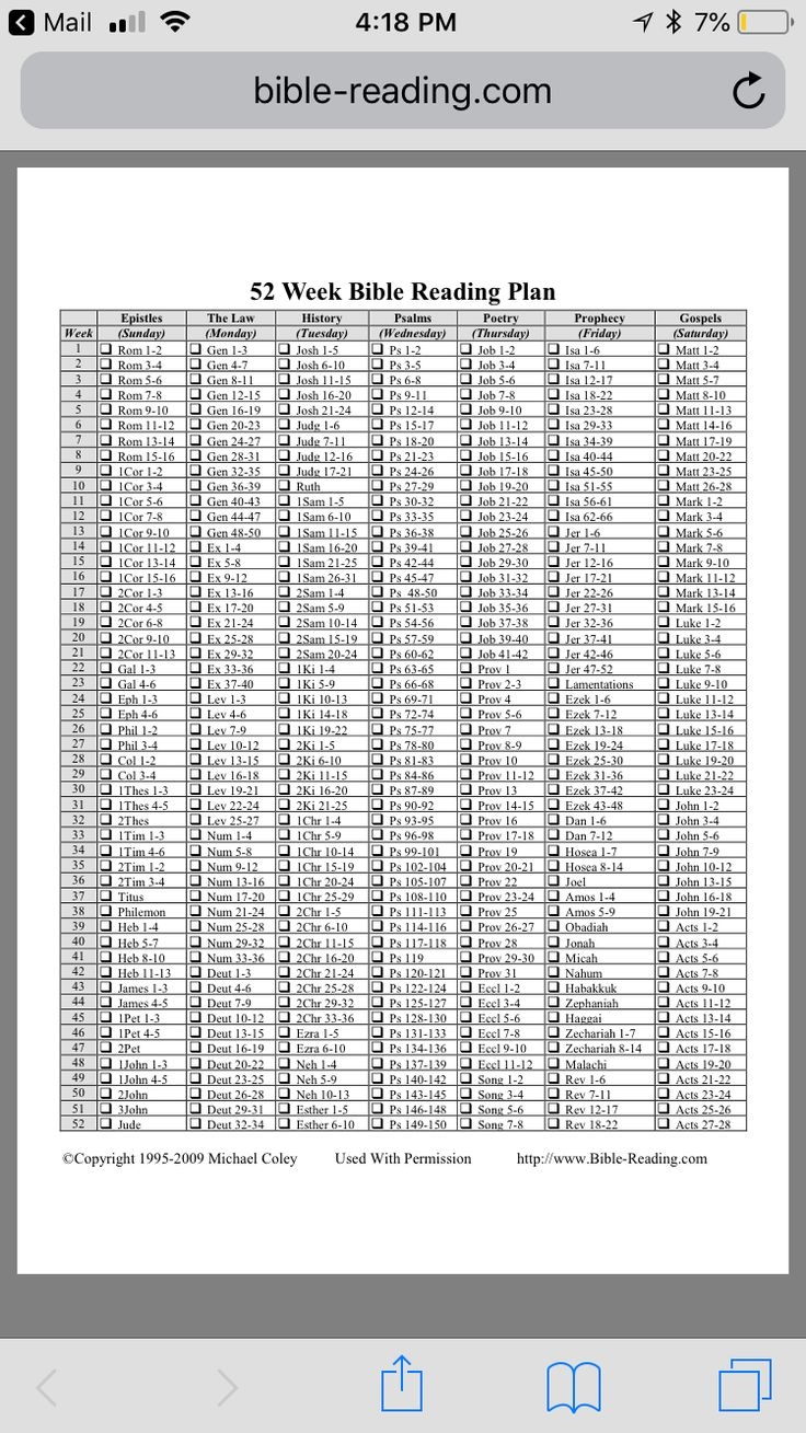
52 Week Bible Reading Plan Printable
Discover the Benefits of the 52 Week Bible Reading Plan Printable
By following this plan, you’ll not only read through the entire Bible in a year, but you’ll also gain a better understanding of the overarching themes and messages found within its pages. Each week focuses on different passages, ensuring a well-rounded reading experience.
With the 52 Week Bible Reading Plan Printable, you’ll be able to track your progress and see how far you’ve come on your journey through the Bible. It’s a great way to stay organized and motivated as you delve into God’s Word each week.
Don’t let the size of the Bible intimidate you! The 52 Week Bible Reading Plan Printable breaks it down into manageable portions, making it easier than ever to engage with scripture regularly. You’ll be amazed at how much you can learn and grow spiritually by following this plan.
So why wait? Download your free copy of the 52 Week Bible Reading Plan Printable today and start your journey through the Bible. Whether you’re reading alone or with a group, this plan is a great resource to help you stay on track and deepen your understanding of God’s Word.
Get ready to embark on an exciting adventure through the Bible with the 52 Week Bible Reading Plan Printable. You’ll be amazed at how much you’ll learn and grow spiritually as you engage with scripture each week. Don’t miss out on this valuable resource – download your copy today!
52 Week Bible Plan
Bible Reading Plan 52 Week Bible Reading Plan 365 Days Bible Reading Weekly Bible Plan Digital Printable Etsy
Chronological Bible Reading Plan Poster 52 Week Bible Reading Plan 365 Days Bible Reading Weekly Bible Plan Digital Printable Poster Etsy
Bible Reading Plan 2025 Freedom Church





